
วันที่ 27 ธ.ค. 68 ผู้สื่อข่าวรายงานว่า สำหรับถ้อยแถลงผลการประชุม คณะกรรมการชายแดนทั่วไปกัมพูชา-ไทย (GBC) ระหว่าง พล.อ.ณัฐพล นาคพาณิชย์ รมว.กลาโหม และพล.อ.เตีย เซ็ยฮา รมว.กลาโหม ที่ลงนามร่วมกัน มีดังนี้
มาตรการลดความตึงเครียด
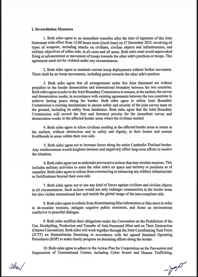
1.ทั้งสองฝ่ายตกลงที่จะหยุดยิงทันที หลังจากลงนามในแถลงการณ์ร่วมฉบับนี้ โดยมีผลบังคับใช้ตั้งแต่เวลา 12.00 น. (ตามเวลาท้องถิ่น) ของวันที่ 27 ธ.ค. 68 ครอบคลุมอาวุธทุกประเภท รวมถึงการโจมตีพลเรือน วัตถุพลเรือน และโครงสร้างพื้นฐาน ตลอดจนเป้าหมายทางทหารของฝ่ายใดฝ่ายหนึ่ง ในทุกกรณีและทุกพื้นที่ ทั้งสองฝ่ายต้องหลีกเลี่ยงการยิง หรือการรุกคืบหรือการเคลื่อนกำลังทหารไปยังตำแหน่งหรือกองกำลังของอีกฝ่ายโดยไม่มีการยั่วยุ ข้อตกลงนี้จะต้องไม่ถูกละเมิดไม่ว่าในกรณีใดๆ
2. ทั้งสองฝ่ายตกลงที่จะคงกำลังทหารที่ประจำการอยู่ ณ ปัจจุบันโดยไม่มีการเคลื่อนย้ายเพิ่มเติมจะไม่มีการเคลื่อนกำลังทหารใดๆ รวมถึงการลาดตระเวนไปยังตำแหน่งของอีกฝ่าย
3. ทั้งสองฝ่ายตกลงว่าข้อตกลงทั้งหมดภายใต้แถลงการณ์ร่วมฉบับนี้ไม่กระทบต่อการกำหนดเขตแดนและพรมแดนระหว่างประเทศระหว่างสองประเทศ
ทั้งสองฝ่ายเห็นพ้องที่จะส่งเรื่องไปยังคณะกรรมการเขตแดนร่วม เพื่อให้ดำเนินการสำรวจและปักธงเขตแดนอีกครั้งโดยเร็วที่สุด ตามข้อตกลงที่มีอยู่ระหว่างสองประเทศเพื่อบรรลุสันติภาพที่ยั่งยืนตามแนวชายแดน ทั้งสองฝ่ายเห็นพ้องที่จะใช้กลไกที่มีอยู่ของคณะกรรมการเขตแดนร่วม เพื่อให้มั่นใจในความปลอดภัยของทีมสำรวจร่วมในพื้นที่ รวมถึงความปลอดภัยจากทุ่นระเบิด ทั้งสองฝ่ายเห็นพ้องว่าคณะกรรมการเขตแดนร่วมจะให้ความสำคัญเป็นอันดับแรกกับการสำรวจและปักธงเขตแดนในพื้นที่ชายแดนที่ได้รับผลกระทบซึ่งมีพลเรือนอาศัยอยู่
4. ทั้งสองฝ่ายเห็นพ้องที่จะอนุญาตให้พลเรือนที่อาศัยอยู่ในพื้นที่ชายแดนที่ได้รับผลกระทบกลับไปยังบ้านและประกอบอาชีพตามปกติในพื้นที่ภายในฝั่งของตนเองโดยเร็วที่สุด โดยปราศจากการขัดขวาง ปลอดภัย และมีศักดิ์ศรี
5. ทั้งสองฝ่ายเห็นพ้องที่จะไม่เพิ่มกำลังทหารตลอดแนวชายแดนกัมพูชา-ไทยการเสริมกำลังใดๆ จะยิ่งเพิ่มความตึงเครียดและส่งผลเสียต่อความพยายามในระยะยาวในการแก้ไขสถานการณ์
6. ทั้งสองฝ่ายตกลงที่จะไม่กระทำการยั่วยุใดๆ ที่อาจทำให้ความตึงเครียดเพิ่มสูงขึ้น ซึ่งรวมถึงกิจกรรมทางทหารในการรุกล้ำน่านฟ้าและดินแดนของอีกฝ่าย หรือตำแหน่งที่อยู่ภายใต้ข้อตกลงหยุดยิง ทั้งสองฝ่ายตกลงที่จะงดเว้นจากการก่อสร้างหรือปรับปรุงโครงสร้างพื้นฐานทางทหารหรือป้อมปราการใดๆ นอกเหนือเขตแดนของตนเอง
7. ทั้งสองฝ่ายตกลงที่จะไม่ใช้กำลังใดๆ ต่อพลเรือนและสิ่งของพลเรือนในทุกกรณี การกระทำดังกล่าวไม่เพียงแต่จะทำให้ชุมชนในพื้นที่ชายแดนตกอยู่ในอันตรายเท่านั้น แต่ยังเป็นการละเมิดกฎหมายระหว่างประเทศและทำให้ภาพลักษณ์ของฝ่ายที่ไม่ปฏิบัติตามเสื่อมเสียในระดับโลก
8. ทั้งสองฝ่ายตกลงที่จะงดเว้นจากการเผยแพร่ข้อมูลเท็จหรือข่าวปลอม เพื่อลดความตึงเครียด บรรเทาความรู้สึกเชิงลบของสาธารณชน และส่งเสริมสภาพแวดล้อมที่เอื้อต่อการเจรจาอย่างสันติ
9. ทั้งสองฝ่ายยืนยันพันธกรณีภายใต้อนุสัญญาว่าด้วยการห้ามใช้ การสะสม การผลิต และการถ่ายโอนทุ่นระเบิดต่อต้านบุคคล และการทำลายทุ่นระเบิดดังกล่าว (อนุสัญญาออตตาวา) ทั้งสองฝ่ายจะร่วมมือกันผ่านคณะทำงานประสานงานร่วม (JCTF) ด้านการเก็บกู้ทุ่นระเบิดเพื่อมนุษยธรรม โดยสอดคล้องกับขั้นตอนการปฏิบัติงานมาตรฐาน (SOP) ที่ตกลงกันไว้ เพื่อให้การเก็บกู้ทุ่นระเบิดตามแนวชายแดนมีความคืบหน้าทันท่วงที
10. ทั้งสองฝ่ายเห็นพ้องที่จะปฏิบัติตามแผนปฏิบัติการเพื่อความร่วมมือในการป้องกันและปราบปรามอาชญากรรมข้ามชาติ รวมถึงการหลอกลวงทางไซเบอร์และการค้ามนุษย์ ระหว่างสำนักงานตำรวจแห่งชาติกัมพูชาและสำนักงานตำรวจแห่งชาติไทย และยืนยันความมุ่งมั่นที่จะเสริมสร้างความร่วมมือเพื่อป้องกันการหลอกลวงทางออนไลน์ แก้ไขปัญหาการใช้แพลตฟอร์มดิจิทัลในทางที่ผิด และส่งเสริมข้อมูลที่รับผิดชอบและถูกต้องในลักษณะที่เอื้อต่อความไว้วางใจ ความมั่นคง และความสัมพันธ์ฉันมิตรที่ดี
11. ด้วยเจตนารมณ์ของปฏิญญาร่วมกัวลาลัมเปอร์เมื่อวันที่ 26 ตุลาคม 2568 ทหารกัมพูชา 18 นายจะถูกส่งตัวกลับกัมพูชาหลังจากที่การหยุดยิงได้รับการรักษาไว้อย่างสมบูรณ์เป็นเวลา 72 ชั่วโมง
สำหรับ กลไกสำหรับการดำเนินการและการตรวจสอบมาตรการลดความตึงเครียด
12. ทั้งสองฝ่ายตระหนักถึงบทบาทสำคัญของคณะผู้สังเกตการณ์อาเซียน (AOT) และเห็นพ้องที่จะเสริมสร้างบทบาทของ AOT โดยปรึกษาหารือกับทั้งประธานอาเซียนและ AOT ในการตรวจสอบและรับรองการดำเนินการอย่างมีประสิทธิภาพของมาตรการทั้งหมดในแถลงการณ์ร่วมนี้
13. เพื่อให้การดำเนินการมีประสิทธิผล ทั้งสองฝ่ายตกลงที่จะใช้หน่วยประสานงานชายแดนกัมพูชา-ไทย และไทย-กัมพูชา เพื่อให้มั่นใจว่าการหยุดยิงจะคงอยู่ จัดการสถานการณ์ในพื้นที่ แก้ไขเหตุการณ์อย่างทันท่วงที และป้องกันการคำนวณผิดพลาด ภายใต้การสังเกตและการตรวจสอบของทีมผู้สังเกตการณ์อาเซียน
14. ทั้งสองฝ่ายจะรักษาช่องทางการสื่อสารโดยตรงและสม่ำเสมอระหว่างรัฐมนตรีว่าการกระทรวงกลาโหมและผู้บัญชาการทหารสูงสุด เพื่อตอบสนองต่อสถานการณ์เร่งด่วนที่ไม่สามารถแก้ไขได้ในระดับท้องถิ่น หากจำเป็น ผู้แทนระดับสูงจากทั้งสองฝ่ายจะพบปะกันเพื่อแก้ไขปัญหาในพื้นที่อย่างมีประสิทธิภาพ
15. กองกำลังร่วมเฉพาะกิจ (JCTF) จะแจ้งหน่วยงานท้องถิ่นที่เกี่ยวข้องของฝ่ายตนเอง รวมถึง JCTF ของอีกฝ่ายหนึ่ง เพื่อให้รับทราบและอำนวยความสะดวกในการปฏิบัติการเก็บกู้ทุ่นระเบิดเพื่อมนุษยธรรมในพื้นที่ชายแดนที่มีความสำคัญตามแผนปฏิบัติการที่ทั้งสองฝ่ายตกลงกันไว้ เพื่อการดำเนินงานที่ราบรื่นโดยปราศจากอุปสรรคหรือความเข้าใจผิดใดๆ
16. ทีมสื่ออย่างเป็นทางการจากทั้งสองฝ่ายจะรักษาการสื่อสารโดยตรงและสม่ำเสมอ เพื่อให้มั่นใจได้ว่าการป้องกันและจัดการข้อมูลเท็จและข้อมูลบิดเบือนจะมีประสิทธิภาพ นอกจากนี้ พวกเขาจะรับประกันความโปร่งใสและความถูกต้องของข่าวสารและรายงานต่างๆ เพื่อเสริมสร้างความไว้วางใจซึ่งกันและกัน
Advertisement