
เมื่ออายุย่อมนำมาซึ่งการเปลี่ยนแปลงในทุกส่วนของร่างกาย รวมถึงสมองและระบบความจำด้วย คำว่า "ยิ่งอายุมากยิ่งอาจจะหลงลืม" เป็นสิ่งที่หลายคนรู้สึกและกังวลเมื่อเข้าสู่ช่วงวัยกลางคนและวัยสูงอายุ
ภาวะความจำถดถอยไม่ได้เป็นเรื่องที่เกิดขึ้นกับผู้สูงอายุเท่านั้น สัญญาณแห่งการเปลี่ยนแปลงนี้อาจเริ่มปรากฏให้เห็นตั้งแต่ช่วงวัยผู้ใหญ่ และมีความรุนแรงมากขึ้นตามอายุที่เพิ่มขึ้น (1-4) ปัจจัยสำคัญที่กระตุ้นให้เกิดภาวะความจำเสื่อมถอยนี้ คือ อายุที่เพิ่มขึ้น และ ปัญหาการอักเสบ ซึ่งปัญหาการอักเสบที่พบมากในผู้ใหญ่วัยกลางคนนั้น มีหลักฐานทางวิชาการที่เชื่อมโยงว่าส่งผลต่อภาวะความจำถดถอยเมื่อก้าวเข้าสู่วัยชรา (5) จึงมีความพยายามในการค้นหาสารอาหารสำคัญที่ช่วยบำรุงและฟื้นฟูการทำงานของสมอง และพบว่า ซุปไก่สกัด ซึ่งอุดมไปด้วยโปรตีนและเปปไทด์ เป็นแหล่งสารอาหารที่มีศักยภาพในการฟื้นฟูความจำระยะสั้นและสมาธิได้ (6-7)
ไฮโดรไลซ์เปปไทด์จากไก่ (โปรเบปทิเจน®)* พัฒนาต่อยอดจากซุปไก่สกัด ด้วยกระบวนการไฮโดรไลซิสเฉพาะ ประกอบด้วยเปปไทด์และกรดอะมิโนประสิทธิภาพปกป้องเซลล์ประสาทและต้านภาวะความจำถดถอย (12-15) รวมถึงกรดอะมิโนที่มีบทบาทส่งเสริมความจำ และความเสียหายของเซลล์ประสาท (16-22)
ซุปไก่สกัดจึงเป็นแหล่งของโปรตีนและเปปไทด์ เป็นสารอาหารสำคัญที่มีบทบาทในการฟื้นฟูปฏิกิริยาตอบสนองในผู้สูงอายุและความจำในผู้ที่เสี่ยงต่อภาวะเครียด (8) มีประโยชน์ต่อความจำใช้งานและสมาธิ (7-10) โดยก่อนหน้านี้คณะผู้วิจัยพบว่าอาสาสมัครที่มีความเครียดจากการทำงานและมีอารมณ์ซึมเศร้า กลับความจำระยะสั้นดีขึ้นอย่างมีนัยสำคัญ หลังจากรับประทานต่อเนื่องเป็นเวลา 2 สัปดาห์ (11)
ข้อมูลจากการศึกษาวิจัยชี้ว่า ไฮโดรไลซ์เปปไทด์จากไก่ (โปรเบปทิเจน®)* ปลอดภัยและไม่ก่อให้เกิดผลข้างเคียงที่เป็นพิษ (23-25) จากการศึกษาในอาสาสมัครที่มีสุขภาพแข็งแรงระบุว่า โปรเบปติเจนช่วยให้ความจำดีขึ้น และไม่ก่อผลข้างเคียงที่เป็นพิษทั้งในระหว่างการศึกษาและภายหลังสิ้นสุดการศึกษา (26)
ผลลัพธ์จากการศึกษานำร่องข้างต้นนำมาสู่การศึกษาผลลัพธ์การฟื้นฟูความจำของโปรเบปติเจนในผู้ใหญ่วัยกลางคนซึ่งมีภาวะเครียดไม่รุนแรง โดยศึกษาในกลุ่มประชากรที่มีขนาดใหญ่ขึ้นและด้วยแบบประเมินความจำที่รัดกุมยิ่งขึ้น การศึกษาเปรียบเทียบนี้มีวัตถุประสงค์หลักเพื่อประเมินผลลัพธ์การฟื้นฟูความจำของโปรเบปติเจนในผู้ใหญ่วัยกลางคนซึ่งมีภาวะเครียดไม่รุนแรง และประเมินผลลัพธ์ด้านอารมณ์และคุณภาพการนอนหลับในฐานะผลลัพธ์รอง รวมถึงยังได้เก็บข้อมูลผลเลือดเพื่อติดตามผลลัพธ์ต่อสภาวะทางกายและประเมินผลลัพธ์ด้านความปลอดภัย
คณะผู้วิจัยแบ่งกลุ่มตัวอย่างซึ่งเป็นผู้ใหญ่สุขภาพแข็งแรงเป็น 2 กลุ่มด้วยวิธีการสุ่มแบบปกปิดข้อมูลทั้งสองทาง โดยกลุ่มทดลองรับประทาน ไฮโดรไลซ์เปปไทด์จากไก่ (โปรเบปทิเจน®)* 2 เม็ด (335 มิลลิกรัม/เม็ด รวม 670 มิลลิกรัม) และกลุ่มควบคุมได้รับยาหลอกติดต่อกันเป็นระยะเวลาสองเดือนวันละครั้งติดต่อกันเป็นเวลา 2 เดือน
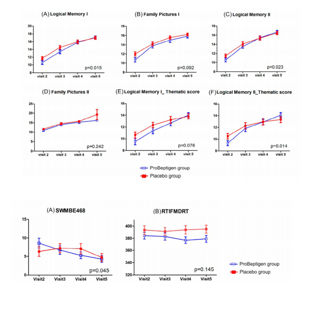
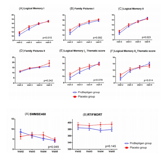
จากการศึกษาพบว่ากลุ่มตัวอย่างที่รับประทาน ไฮโดรไลซ์เปปไทด์จากไก่ (โปรเบปทิเจน®)* 670 มิลลิกรัมนาน 2 เดือนมีความจำทางภาษาทั้งระยะสั้นและระยะยาว (ภาพประกอบ 1) และความจำใช้งาน (ภาพประกอบ 2) ดีขึ้นเมื่อเทียบกับกลุ่มควบคุมที่ได้รับยาหลอก (placebo) การรับประทาน ไฮโดรไลซ์เปปไทด์จากไก่ (โปรเบปทิเจน®)* ลดตัวบ่งชี้การอักเสบ (hs-CRP) ได้อย่างมีนัยสำคัญโดยเห็นผลมากขึ้นตามระยะเวลาเมื่อเทียบกับกลุ่มควบคุม (ภาพประกอบ 3) และ ไฮโดรไลซ์เปปไทด์จากไก่ (โปรเบปทิเจน®)* ไม่ส่งผลกระทบต่อความรู้สึกเครียด อารมณ์ (ภาวะซึมเศร้า, ความวิตกกังวล) และคุณภาพการนอนหลับ (ภาพประกอบ 4)
Noted: Adapted from reference
Dean Wu; Cheng-Chang Yang; Kuan-Yu Chen; Ying-Chin Lin; Pei-Jung Wu; Pei-Hsiu Hsieh; Yoshihiro Nakao; Mandy Y. L. Ow; Yi-Chen Hsieh; and Chaur-Jong Hu; Hydrolyzed Chicken Extract (ProBeptigen®) on Cognitive Function in Healthy Middle-Aged People: A Randomized Double-Blind Trial. Nutrients 2020, 12, 1362; doi:10.3390/nu12051362
Noted: Adapted from reference
Dean Wu; Cheng-Chang Yang; Kuan-Yu Chen; Ying-Chin Lin; Pei-Jung Wu; Pei-Hsiu Hsieh; Yoshihiro Nakao; Mandy Y. L. Ow; Yi-Chen Hsieh; and Chaur-Jong Hu; Hydrolyzed Chicken Extract (ProBeptigen®) on Cognitive Function in Healthy Middle-Aged People: A Randomized Double-Blind Trial. Nutrients 2020, 12, 1362; doi:10.3390/nu12051362
Noted: Adapted from reference
Dean Wu; Cheng-Chang Yang; Kuan-Yu Chen; Ying-Chin Lin; Pei-Jung Wu; Pei-Hsiu Hsieh; Yoshihiro Nakao; Mandy Y. L. Ow; Yi-Chen Hsieh; and Chaur-Jong Hu; Hydrolyzed Chicken Extract (ProBeptigen®) on Cognitive Function in Healthy Middle-Aged People: A Randomized Double-Blind Trial. Nutrients 2020, 12, 1362; doi:10.3390/nu12051362
Noted: Adapted from reference
Dean Wu; Cheng-Chang Yang; Kuan-Yu Chen; Ying-Chin Lin; Pei-Jung Wu; Pei-Hsiu Hsieh; Yoshihiro Nakao; Mandy Y. L. Ow; Yi-Chen Hsieh; and Chaur-Jong Hu; Hydrolyzed Chicken Extract (ProBeptigen®) on Cognitive Function in Healthy Middle-Aged People: A Randomized Double-Blind Trial. Nutrients 2020, 12, 1362; doi:10.3390/nu12051362
ไฮโดรไลซ์เปปไทด์จากไก่ (โปรเบปทิเจน®)* มีงานวิจัยสนับสนุนว่ามีส่วนช่วยส่งเสริมความจำ จึงเป็นอีกหนึ่งสาระดีๆ ที่คนใส่ใจสุขภาพไม่ควรพลาด
--------------------------------------------------------------------------------------
หมายเหตุ
* = ไฮโดรไลซ์เปปไทด์จากไก่ (โปรเบปทิเจน®) ซึ่งถูกใช้เป็นส่วนประกอบในสินค้า BRAND’S® MEMO+ มีจำหน่ายที่ไต้หวัน ฮ่องกง และสิงคโปร์
บทความฉบับเต็มอ้างอิงจาก Dean Wu; Cheng-Chang Yang; Kuan-Yu Chen; Ying-Chin Lin; Pei-Jung Wu; Pei-Hsiu Hsieh; Yoshihiro Nakao; Mandy Y. L. Ow; Yi-Chen Hsieh; and Chaur-Jong Hu; Hydrolyzed Chicken Extract (ProBeptigen®) on Cognitive Function in Healthy Middle-Aged People: A Randomized Double-Blind Trial. Nutrients 2020, 12, 1362; doi:10.3390/nu12051362
รายการอ้างอิง
1. Deary, I.J.; Corley, J.; Gow, A.J.; Harris, S.E.; Houlihan, L.M.; Marioni, R.E.; Penke, L.; Rafnsson, S.B.; Starr, J.M. Age-associated cognitive decline. Br. Med. Bull. 2009, 92, 135–152.
2. Salthouse, T.A. When does age-related cognitive decline begin? Neurobiol. Aging 2009, 30, 507–514.
3. Singh-Manoux, A.; Kivimaki, M.; Glymour, M.M.; Elbaz, A.; Berr, C.; Ebmeier, K.P.; Ferrie, J.E.; Dugravot, A. Timing of onset of cognitive decline: Results from Whitehall II prospective cohort study. BMJ 2012, 344.
4. Karlamangla, A.S.; Lachman, M.E.; Han, W.; Huang, M.; Greendale, G.A. Evidence for Cognitive Aging in Midlife Women: Study of Women’s Health Across the Nation. PLoS ONE 2017, 12, e0169008.
5. Walker, K.A.; Gottesman, R.F.; Wu, A.; Knopman, D.S.; Gross, A.L.; Mosley, T.H., Jr.; Selvin, E.; Windham, B.G. Systemic inflammation during midlife and cognitive change over 20 years: The ARIC Study. Neurology 2019, 92, e1256–e1267.
6. Nagai, H.; Harada, M.; Nakagawa, M.; Tanaka, T.; Gunadi, B.; Setiabudi, M.L.; Uktolseja, J.L.; Miyata, Y. Effects of chicken extract on the recovery from fatigue caused by mental workload. Appl. Hum. Sci. 1996, 15, 281–286.
7. Azhar, Z.M.; Syedsahiljamalulail, S. Effect of taking chicken essence on stress and cognition of human volunteers. Malays. J. Nutr. 2003, 9, 19–29.
8. Jakobsen, L.H.; Kondrup, J.; Zellner, M.; Tetens, I.; Roth, E. Effect of a high protein meat diet on muscle and cognitive functions: A randomised controlled dietary intervention trial in healthy men. Clin. Nutr. 2011, 30, 303–311.
9. Nagai, H.; Harada, M.; Nakagawa, M.; Tanaka, T.; Gunadi, B.; Setiabudi, M.L.; Uktolseja, J.L.; Miyata, Y. Effects of chicken extract on the recovery from fatigue caused by mental workload. Appl. Hum. Sci. 1996, 15, 281–286.
10. 26. Azhar, Z.M.; Zubaidah, J.O.; Norjan, K.O.N. Effect of taking chicken essence on cognitive functioning of normal stressed human volunteers. Malays. J. Med. Health Sci. 2008, 4, 57–68.
11. Chan, L.; Wang, H.M.; Chen, K.Y.; Lin, Y.C.; Wu, P.J.; Hsieh, W.L.; Chen, Y.R.; Liu, C.P.; Tsai, H.Y.; Chen, Y.R., et al. Effectiveness of Essence of Chicken in Improving Cognitive Function in Young People Under Work-Related Stress: A Randomized Double-Blind Trial. Medicine 2016, 95, e3640.
12. Faden, A.I.; Knoblach, S.M.; Movsesyan, V.A.; Cernak, I. Novel small peptides with neuroprotective and nootropic properties. J. Alzheimers Dis. 2004, 6, S93–S97, doi:10.3233/jad-2004-6s603.
13. Tsuruoka, N.; Beppu, Y.; Koda, H.; Doe, N.; Watanabe, H.; Abe, K. A DKP cyclo(L-Phe-L-Phe) found in chicken essence is a dual inhibitor of the serotonin transporter and acetylcholinesterase. PLoS ONE 2012, 7, e50824, doi:10.1371/journal.pone.0050824.
14. Gudasheva, T.A.; Boyko, S.S.; Akparov, V.; Ostrovskaya, R.U.; Skoldinov, S.P.; Rozantsev, G.G.; Voronina, T.A.; Zherdev, V.P.; Seredenin, S.B. Identification of a novel endogenous memory facilitating cyclic dipeptide cyclo-prolylglycine in rat brain. FEBS Lett. 1996, 391, 149–152.
15. Prasad, C. Bioactive cyclic dipeptides. Peptides 1995, 16, 151–164.
16. Tabassum, S.; Ahmad, S.; Madiha, S.; Khaliq, S.; Shahzad, S.; Batool, Z.; Haider, S. Impact of oral supplementation of Glutamate and GABA on memory performance and neurochemical profile in hippocampus of rats. Pak. J. Pharm. Sci. 2017, 30, 1013–1021.
17. Bohme, G.A.; Bon, C.; Lemaire, M.; Reibaud, M.; Piot, O.; Stutzmann, J.M.; Doble, A.; Blanchard, J.C. Altered synaptic plasticity and memory formation in nitric oxide synthase inhibitor-treated rats. Proc. Natl. Acad. Sci. USA 1993, 90, 9191–9194.
18. Calabrese, V.; Mancuso, C.; Calvani, M.; Rizzarelli, E.; Butterfield, D.A.; Stella, A.M. Nitric oxide in the central nervous system: Neuroprotection versus neurotoxicity. Nat. Rev. Neurosci. 2007, 8, 766–775.
19. Cooke, J.P.; Dzau, V.J. Nitric oxide synthase: Role in the genesis of vascular disease. Annu. Rev. Med. 1997, 48, 489–509.
20. Colzato, L.S.; Jongkees, B.J.; Sellaro, R.; Hommel, B. Working memory reloaded: Tyrosine repletes updating in the N-back task. Front. Behav. Neurosci. 2013, 7, 200, doi:10.3389/fnbeh.2013.00200.
21. Shurtleff, D.; Thomas, J.R.; Schrot, J.; Kowalski, K.; Harford, R. Tyrosine reverses a cold-induced working memory deficit in humans. Pharmacol. Biochem. Behav. 1994, 47, 935–941.
22. Thomas, J.R.; Lockwood, P.A.; Singh, A.; Deuster, P.A. Tyrosine improves working memory in a multitasking environment. Pharmacol. Biochem. Behav. 1999, 64, 495–500.
23. 28-Day Repeated Dose of Oral Toxicity Study in Rats—Chicken Meat Ingredient/CE Protein Powder (Unpublished Report); MedGaea Life Sciences Ltd.: New Taipei City, Taiwan, 2015; pp 1–168.
24. 28-Day Repeated Dose of Oral Toxicity Study in Rats—Chicken meat ingredient (Unpublished Report); MedGaea Life Sciences Ltd: New Taipei City, Taiwan, 2016; pp 2–76.
25. A human tolerance, safety, and quality of life study on a protein-peptide extract health supplement (Unpublished Report). Asia Global Research Co., Ltd.: Bangkok, Thailand, 2019; pp 1–56.
26. Tsai, S.F.; Chang, C.Y.; Yong, S.M.; Lim, A.L.; Nakao, Y.; Chen, S.J.; Kuo, Y.M. A Hydrolyzed Chicken Extract CMI-168 Enhances Learning and Memory in Middle-Aged Mice. Nutrients 2018, 11.
27. Chou, M.Y.; Chen, Y.J.; Lin, L.H.; Nakao, Y.; Lim, A.L.; Wang, M.F.; Yong, S.M. Protective Effects of Hydrolyzed Chicken Extract (Probeptigen(R)/Cmi-168) on Memory Retention and Brain Oxidative Stress in Senescence-Accelerated Mice. Nutrients 2019, 11.
28. Ni, Y.; Ni, L.; Ma, L.; Wang, Z.; Zhao, Y.; Hu, L.; Zheng, L.; Fu, Z. Neuroprotective Effects of ProBeptigen/CMI-168 on Aging-Induced Cognitive Decline and Neuroinflammation in Mice: A Comparison with Essence of Chicken. College of Biotechnology and Bioengineering; Zhejiang University of Technology: Hangzhou, China, 2020, manuscript under review.
29. Azhar, Z.M.; Zubaidah, J.O.; Norjan, K.O.N.; Zhuang, C.Y.; Tsang, F. A pilot placebo-controlled, double blind, and randomized study on the cognition-enhancing benefits of a proprietary chicken meat ingredient in healthy subjects. Nutr. J. 2013, 12, 121.
Advertisement